細胞表面抗原ではcd13およびcd33陽性cd34およびhla-drは陰性で他のamlに比べ細胞分化が進んでいることを反映している DICの合併が多くFDP フィブリン フィブリノゲン 分解産物D-ダイマーの増加フィブリノゲンの減少プロトロンビン時間比の増加を認める. トシリズマブアクテムラ 承認年2005 標的分子il-6r 主な適応疾患キャッスルマン病関節リウマチ.

A Cd33 Antigen Targeted Aav6 Vector Expressing An Inducible Caspase 9 Suicide Gene Is Therapeutic In A Xenotransplantation Model Of Acute Myeloid Leukemia Bioconjugate Chemistry X Mol

治疗急性髓细胞白血病 辉瑞mylotarg获英国nice扩大适应症 每日头条
解决全球首个adc正常细胞cd33毒性问题 Vor33获fda授予快速通道资格 凯莱英药闻 微信公众号文章阅读 Wemp
パージェタ ペルツズマブ her2陽性 ポテリジオ モガムリズマブ ccr4陽性 ヤーボイ イピリムマブ 抗ctla-4 アーゼラ オファツムマブ cd20陽性 オプジーボ ニボルマブ 抗pd-1 キイトルーダ ペムブロリズマブ 抗pd-1.

Cd33陽性細胞. 急性骨髄性白血病の標準治療 急性骨髄性白血病の治療では骨髄中の白血病細胞を死滅させることで速やかに患者さんの骨髄機能を回復させることを目標に多剤併用化学療法を行っています 急性骨髄性白血病の好発は50代ですので比較的高齢者に多いわけですが若年者よりも化学療法に. ゲムツズマはヒト白血病細胞におけるcd33抗原を標的にします 適応はcd33陽性の急性骨髄性白血病です 覚え方は 33 歳ゲーム通 です プロテアソーム阻害薬. 第65回臨床検査技師国家試験pm6180の解説です 第65回臨技国試のpm問6180の解説です 難易度は主観で110の10段階でつけています.
Po染色は強陽性細胞質一面に cd13cd332hla-dr dic 頻度成人1015 小児7 ポイント 豊富なアズール顆粒束状のアウエル小体po強陽性が特徴的である. 芽球がmpo強陽性でdicを伴う場合には疑うことが重要であるm3はcd13cd33陽性hla-drcd34陰性であるm3vはhla-drcd34陽性が多いまたt細胞抗原であるcd2陽性も多い who分類2017では反復性染色体異常pml-raraを伴うaplとされる 1. 一部のT 細胞 T 細胞リンパ腫の分類 陽性数の偏りはリンパ腫を意味 しない granzyme B perforin TIA-1 細胞傷害性T 細胞 細胞傷害性T 細胞リンパ腫やNKT 細 胞リンパ腫の診断 CD68 CD163 ともに組織球マーカー 組織球性腫瘍など 特異度に注意 myeloperoxidase およびCD33.
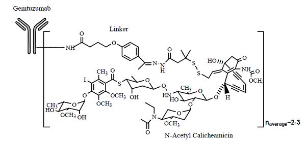
急性骨髄性白血病細胞はCD13 CD33 CD34 CD117 HLA-DRといった細胞表面の蛋白が多くの場合陽性になりますArch Pathol Lab Med. Gemtuzumab ozogamicin Mylotarg IgG4κカリケアマイシン修飾 CD33 急性骨髄性白血病 2017refused2005 NS0 alemtuzumab Campath IgG1κ CD52 B細胞性慢性リンパ性白血病 2001 2001 2014 CHO omalizumab Xolair IgG1κ IgE 喘息 2003 2005 2009 CHO efalizumab Raptiva IgG1κ CD11 尋常性乾癬 2003 2004 NA CHO. ラルキラー細胞およびナチュラルキラーt細胞の機 能不全やアポトーシスを誘導することが見出されてい る26cd33陽性単核細胞をhcvに感染した肝細胞 又はhcvコアタンパク質と共培養するとt細胞応答が 抑制されhcvコアで処理したcd33陽性単核細胞で.
末梢血幹細胞採取 5日前に入院g-csf投与開始末梢血にcd34陽性細胞動 員 血液成分分離装置を用いて採取成分献血で使うものと一緒 2本の末梢v細い方は鼠径にカテーテル挿入 造血幹細胞を分離し残りは返血. Cd19の有無に関係なくcd13陽性の場合はcd33cd34mpoといった骨髄球系のマーカーを追加するべきである cd20とcd5 両方陽性となるのはcllやb細胞性またはt細胞性の悪性リンパ腫の一部である cd10とcd2 cd10陽性のt細胞はt細胞性腫瘍の場合にあるパターンで. ベバシズマブアバスチン 承認年2007 標的分子vegf 主な適応疾患結腸直腸.
非霍奇金淋巴瘤患者外周血髓样抑制细胞的鉴定及其临床意义

抗cd33 吉妥珠单抗 知乎
解决全球首个adc正常细胞cd33毒性问题 Vor33获fda授予快速通道资格 凯莱英药闻 微信公众号文章阅读 Wemp

Cd34亚群的多色免疫表型显示各种干细胞来源之间出乎意料的差异骨髓移植

免疫分型教学教材下载 Word模板 爱问共享资料

Flow Cytometry To Estimate Leukemia Stem Cells In Primary Acute Myeloid Leukemia And In Patient Derived Xenografts At Diagnosis And Follow Up Protocol Translated To Chinese
头条文章
解决全球首个adc正常细胞cd33毒性问题 Vor33获fda授予快速通道资格 凯莱英药闻 微信公众号文章阅读 Wemp